近年来,全球多肽药物市场经历了持续快速增长,在多个治疗领域显示出独特的优势。然而,现有的合成系统仍然面临着关键的技术瓶颈,包括控制副反应和保持手性纯度的挑战。作为构建酰胺键的核心试剂,其性能直接影响键形成效率、产品纯度和收率。因此,肽合成试剂的创新开发引起了人们的广泛关注。
在众多缩合试剂中,HATU等离子缩合试剂因其高反应性和优异的外消旋抑制作用而被广泛使用。然而,这些试剂含有高能杂原子键(如N-N和N-O键),导致热稳定性差和潜在的安全风险。为了解决这个问题,Kunishima的团队开发了一种新的缩合试剂,2-(4,6-二甲氧基-1,3,5-三嗪-2-基)-1,1,3,3-四甲基脲六氟磷酸盐,缩写为DMT-TU。
DMT-TU的分子特性:
DMT-TU创新性地结合了DMTMM中四甲基脲结构的高反应性和三嗪结构的易剥离性(见图1中的结构)。它具有高反应性和抑制外消旋化的能力。该分子不含高能杂原子键,这提高了稳定性。实验表明,它在冰箱中储存一年后保持稳定。
从表中可以看出,DMT-TU的分解温度与HATU相当,但其总释放热量明显低于缩合试剂,表明其在使用和储存过程中具有更高的安全性。
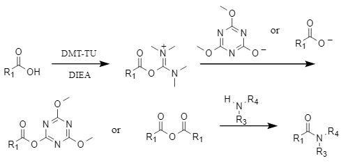
DMT-TU的作用机制:
DMT-TU的作用机理如下:羧酸在碱的存在下与DMT-TU反应形成O-酰基异脲,然后与三嗪盐或羧酸盐进一步反应形成相应的三嗪酯或羧酸酐,最后氨解得到酰胺化合物。
3.DMT-TU的功能:
1.高效耦合能力:
DMT-TU可以有效地构建酰胺键,适用于芳香族和脂肪族底物,反应收率通常超过80%(详见图)。在苯丙酸作为模型底物与苯胺/二乙胺的反应中,使用DMT-TU实现了超过90%的收率。在相同条件下,使用DMTMM的相应酰胺收率分别为73%和68%。这表明DMT-TU表现出优异的反应性。
4.优异的外消旋抑制性能
除了高反应性外,优秀的缩合试剂还必须具有很强的外消旋抑制能力。在与可外消旋氨基酸底物的比较实验中,DMT-TU表现出优异的外消旋抑制作用,其外消旋率低于HATU和HBTU等传统试剂(见图4)。
综上所述,新型缩合试剂DMT-TU通过巧妙的分子设计实现了高活性和高安全性的结合。它是一种潜在的工业缩合试剂,也为肽合成技术的进一步发展提供了新思路。具有重要的科研和应用价值。
经过22年的不懈努力和积累,浩帆生物在全球肽合成试剂领域的根基不断加深,现已发展成为一家具有广泛定制产品覆盖能力和显著大规模生产优势的领先公司,可以满足各种客户的特定需求。我们诚挚地邀请对该产品感兴趣的客户与我们联系,以获取有关该产品的更多信息并探索合作机会。
