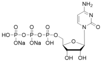
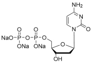
中文名称:2'-脱氧胞苷-5'-二磷酸三钠盐水合物
中文名称:2'-脱氧胞苷-5'-二磷酸三钠盐(dCDP.Na3)
CAS编号:151151-32-5
分子结构:

中文名称:2'-脱氧鸟苷-5'-二磷酸二钠盐(dGDP.Na2)
中文名称:2'-脱氧鸟苷-5'-二磷酸二钠(国内生产总值.Na2)
CAS编号:78101-74-3
分子结构:

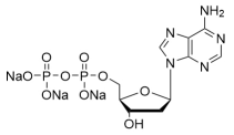
中文名称:2'-脱氧腺苷-5'-二磷酸三钠盐(dADP.Na3)
中文名称:2'-脱氧腺苷-5'-二磷酸三钠盐(dADP.Na3)
CAS编号:402491-35-4
分子结构:

中文名称:2'-脱氧肌苷-5'-单磷酸二钠盐(dIMP·Na2)
中文名称:2'-脱氧肌苷-5'-单磷酸二钠(dIMP·Na2)
CAS编号:14999-52-1
分子结构:

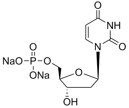
中文名称:2'-脱氧尿苷-5'-单磷酸二钠盐(dUMP·Na2)
中文名称:2'-脱氧尿苷-5'-单磷酸二钠(dUMP·Na2)
CAS编号:42155-08-8
分子结构:

中文名称:胸苷-5'-单磷酸二钠盐(dTMP.Na2)
中文名称:2'-脱氧胸苷-5'-单磷酸二钠(dTMP.Na2)
CAS编号:33430-62-5
分子结构:

中文名称:2'-脱氧胞苷-5'-单磷酸游离酸
中文名称:2'-脱氧胞苷-5'-单磷酸(dCMP·自由酸)
CAS编号:1032-61-1
分子结构:

中文名称:2'-脱氧鸟苷-5'-单磷酸二钠盐
中文名称:2'-脱氧鸟苷-5'-单磷酸二钠(dGMP.Na2)
CAS编号:33430-61-4
分子结构:

中文名称:2'-脱氧腺苷-5'-单磷酸游离酸
中文名称:2'-脱氧腺苷-5'-单磷酸(dAMP·自由酸)
CAS编号:653-63-4
分子结构:

中文名称:2'-脱氧胞苷-3'-单磷酸游离酸
中文名称:2'-脱氧胞苷-3'-单磷酸(3'-dCMP·自由酸)
CAS编号:6220-63-9
分子结构:

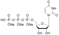
中文名称:尿苷5'-三磷酸三钠盐
中文名称:尿苷-5'-三磷酸三钠 (UTP.Na3)
CAS编号:19817-92-6
分子结构:

中文名称:胞苷5'-三磷酸二钠盐
中文名称:胞苷-5'-三磷酸二钠 (CTP.Na2)
CAS编号:36051-68-0
分子结构:
