中文名称:4,5-二甲基-1,3-二氧代-2-酮
中文名称:4,5-二甲基-1,3-二氧杂环戊烯-2-酮(DMDO)
CAS编号:37830-90-3
分子结构:

中文名称:奥美沙坦酯
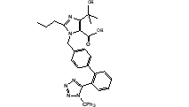
中文名称:三苯甲基奥美沙坦酯
CAS编号:144690-92-6
分子结构:

中文名称:三苯甲基奥美沙坦
中文名称:三苯甲基奥美沙坦酸
CAS编号:752179-89-8
分子结构:

中文名称:奥美沙坦乙酯
中文名称:三苯甲基奥美沙坦乙酯
CAS编号:144690-33-5
分子结构:

中文名称:4-(1-羟基-1-甲基乙基)-2-丙基-1H-咪唑-5-羧酸乙酯
中文名称:4-(1-甲基基-1-甲基基)-2-乙基-1H-咪唑-5-羧酸乙酯
CAS编号:144689-93-0
分子结构:

中文名称:2-丙基-1H-咪唑-4,5-二羧酸二乙酯
中文名称:2-丙基-1H-咪唑-4,5-二羧酸二乙酯(脱毛)
CAS编号:144689-94-1
分子结构:

中文名称:(3aR,4S,5R,6aS)-5-((叔丁基二甲基甲硅烷基)氧基)-4-(羟甲基)六氢-2H-环戊[b]呋喃-2-酮
中文名称:TBS-科里内酯
CAS编号:39968-95-1
分子结构:

中文名称:(3aR,4S,5R,6aS)-4-(羟甲基)-5-(氧杂-2-基氧基)-3,3a,4,5,6,6a-六氢环戊烷]呋喃-2-酮
中文名称:THP-科立内酯
CAS编号:69222-61-3
分子结构:

中文名称:2-(2-氨基乙氧基)乙氧基乙酸
中文名称:2-(2-(2-氨基乙氧基)乙氧基)乙酸(H-AEEA-OH)
CAS编号:134978-97-5
分子结构:

中文名称:(1α,2α,3β,6β)-1,2,3,6-四氢-3,6-甲基邻苯二甲酸酐
中文名称:顺-5-降冰片烯-外型-2,3-二羧酸酐
CAS编号:2746-19-2
分子结构:

英文名称:(1R,2S,6R,7S)-4-氮杂三环[5.2.1.0]癸烷-3,5-二酮
中文名称:(3aR、4S、7R、7aS)-六氢-1H-4,7-桥亚甲基异吲哚-1,3(2小时)-二酮
CAS编号:14805-29-9
分子结构:

中文名称:N-8-[(2-羟基苯甲酰基)氨基]辛酸钠
中文名:8-(2-甲基甲酰胺基)甘氨酸
CAS编号:203787-91-1
分子结构:
